
特别说明:完整45期数字信号处理教程,原创高性能示波器代码全开源地址:链接 第23章 傅里叶变换 本章节开始进入此教程最重要的知识点之一傅里叶变换。关于傅里叶变换,我们在大一的高等代数课本中都学习过,但是工作后还能记得这个变换的已经寥寥无几了。本章节主要是把傅里叶相关的基础知识进行必要的介绍,没有这些基础知识的话,后面学习FFT(快速傅里叶变换)时会比较困难。本章节的内容主要来自百度百科,wiki百科以及网络和书籍中整理的一些资料。 23.1 傅里叶人物简介 23.3 傅里叶变换概念 23.3 傅里叶的特殊形式 23.4 傅里叶变换相关知识 23.5 总结 23.1 傅里叶人物简介 学习傅里叶变换前,一定要对傅里叶这个人有所了解,这样更加有利于学习他提出的理论。 让·巴普蒂斯·约瑟夫·傅立叶(Jean Baptiste Joseph Fourier,1768 –1830),法国著名数学家、物理学家,1817年当选为科学院院士,1822年任该院终身秘书,后又任法兰西学院终身秘书和理工科大学校务委员会主席,主要贡献是在研究热的传播时创立了一套数学理论。 傅立叶生于法国中部欧塞尔(Auxerre)一个裁缝家庭,8岁时沦为孤儿,就读于地方军校,1795年任巴黎综合工科大学助教,1798年随拿破仑军队远征埃及,受到拿破仑器重,回国后被任命为格伦诺布尔省省长。 傅立叶早在1807年就写成关于热传导的基本论文《热的传播》,向巴黎科学院呈交,但经拉格朗日、拉普拉斯和勒让德审阅后被科学院拒绝,1811年又提交了经修改的论文,该文获科学院大奖,却未正式发表。傅立叶在论文中推导出著名的热传导方程 ,并在求解该方程时发现解函数可以由三角函数构成的级数形式表示,从而提出任一函数都可以展成三角函数的无穷级数。傅立叶级数(即三角级数)、傅立叶分析等理论均由此创始。 傅立叶由于对传热理论的贡献于1817年当选为巴黎科学院院士。 1822年,傅立叶终于出版了专著《热的解析理论》(Theorieanalytique de la Chaleur ,Didot ,Paris,1822)。这部经典著作将欧拉、伯努利等人在一些特殊情形下应用的三角级数方法发展成内容丰富的一般理论,三角级数后来就以傅立叶的名字命名。傅立叶应用三角级数求解热传导方程,为了处理无穷区域的热传导问题又导出了当前所称的“傅立叶积分”,这一切都极大地推动了偏微分方程边值问题的研究。然而傅立叶的工作意义远不止此,它迫使人们对函数概念作修正、推广,特别是引起了对不连续函数的探讨;三角级数收敛性问题更刺激了集合论的诞生。因此,《热的解析理论》影响了整个19世纪分析严格化的进程。傅立叶1822年成为科学院终身秘书。 |
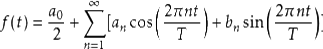
23.3.2 傅里叶级数
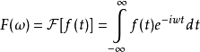
23.3.3 离散时间傅里叶变换
23.3.4 离散傅里叶变换
23.3.5 傅里叶变换家族
23.4.1 傅里叶变换的提出
23.4.2 傅里叶变换分类
23.4.3 傅里叶变换的意义
23.4.4 图像傅里叶变换