你的浏览器版本过低,可能导致网站不能正常访问!
为了你能正常使用网站功能,请使用这些浏览器。

【经验之谈】基于STM32G071实战测试平方根倒数速算法FISR详解的经验分享

[复制链接]
STMCU小助手 发布时间:2022-12-10 19:00
家介绍经典C语言平方根倒数速算法(或称Fast Inverse Square Root)。详细推导魔法数字0x5f3759df究竟从何而来,并最终在MCU上对比该算法和<math.h>中double sqrt(double)方法的性能表现并给出使用建议。本文不涉及高深的数学变换或复杂的计算机原理,但希望读者具备一些C语言基础;此外任何相关领域的积累都可能有助于内容理解。

希望本文能帮助到有需要的朋友。

平方根倒数简介
求平方根倒数在向量单位化操作中很常见,先举个例子,假设在二维平面内有一向量:


将该向量单位化,即将向量模长缩放为1,用向量除以它的模,可以表达成下式:


此处,单位向量的坐标,即是原向量坐标和模长倒数的乘积。
一般而言,对任一数x,

即被称作平方根倒数。

C语言内求平方根倒数

C语言内求平方根属于常规操作,因为<math.h>中已经提供了double sqrt(double)函数给大家调用,该函数接收一个double型变量,并返回其平方根。部分场合使用float类型,如果是我,我会这么写:

  1. #include <math.h>

  2. float x =0;

  3. float inverse_square_root =0;

  4. inverse_square_root =1/sqrt(x);
复制代码


事实上,大多数计算机处理加法和乘法时更快,对于除法和开方运算,速度相对较慢。定义在<math.h>中的sqrt()方法其系统开销是比较大的,尤其在部分MCU上,有时不能很好地满足系统实时性要求。


速算法介绍
该情景与上世纪末PC算力较低的情况颇有几分相似,而在那段PC内存按MB计算的岁月里,优秀的C语言程序员们找到了该问题的解决方法:平方根倒数速算法(Fast Inverse Square Root),据说该算法最早由GaryTarolli在SGI Indigo开发中使用,对起源感兴趣的朋友可自行探究。
平方根倒数速算法是一个单独的函数实现,代码如下:
  1. float FInvSqrtRoot(float x)

  2. {

  3.     long i = 0;

  4.     float y, halfx;

  5.     halfx = 0.5 * x;

  6.     i = *(long*) &x;                 // 按照整型方法操作浮点数

  7.     i = 0x5f3759df - (i >> 1);       // 魔法?

  8.     y = *(float*) &i;                // 获得平方根倒数近似值

  9.     y = y * (1.5 - halfx * y * y);   // 一次牛顿迭代

  10.     return y;

  11. }
复制代码



该函数接收一个float型变量,并返回其平方根倒数。


Step1.奇怪的地址类型转换

  1. i = *(long *) &x;                // 按照整型方法操作浮点数
复制代码

代码第四行将浮点数x按照整型数据操作,这里的操作方法与类型转换有很大不同;类型转换将内存中按照浮点数标准表示的值近似为最接近的整数,并按照整数标准储存在内存中,像这样:i=(long)x;要理解*(long *) &x与(long)x的不同,需要了解浮点数在计算机中的表示方法。
浮点数在计算机中使用类似科学计数法的形式储存,float类型的浮点数使用32bit表示,结构如下:



最高位,第31位,为符号位,若S=0,该浮点数为正数;若S=1,该浮点数为负数。
接下来的8位数字,为指数部分,指数E范围为[0,255],为可以表示负指数,规定在E的范围基础上-127,即[-127,128];例如E=3表示2^(3-127)=2^(-124)。
接下来的23位数字,为尾数部分,即有效数字部分。由于二进制下有效数字必为1.xxx的形式,整数部分必为1,因此无需使用第22位表示整数1,而是直接表示小数点后一位,整数部分不在尾数M中体现,只在计算时加上;即M=0101…表示二进制的1.0101。以上,float型浮点数在内存中的存放形式已经明确。
现假设有一float型浮点正数x,其在内存中按照上述方式存放,即:

则x表示的浮点数值为:

注意平方根倒数速算法只接收正数,所以全文只讨论x为正浮点数的情况。

此时再回来看i=*(long *) &x这行代码;

第一步;取x的地址,注意此时x的地址指向一个浮点数,内存中对应的数据为:E*2^23+M

第二步;将该地址转换为指向long整型的地址,注意转换的是地址类型而不是数据,现在内存中的数据仍然是:E*2^23+M

第三步,取该地址指向的数据,赋给i;此时程序将按照整型标准去读取这个数据。因此,可以将i理解为x对应内存数据的整型解释。现在可以对i进行整型支持的操作,比如接下来要用到的位移操作。

准备工作已经完成,现在进入算法的核心,即施放魔法:

  1. i = 0x5f3759df - (i >> 1);       // 魔法?
复制代码

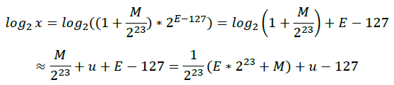
要理解这行代码,需要一点点数学铺垫;我们先给x表示的浮点数取个对数:

其中,M表示尾数,M/2^23范围在[0,1)之间;在极限理论中,若x属于[0,1],有以下关系:

即在x接近0或1的条件下,log2(1+x)接近x;很明显当x不靠近0或1时,误差会变大,如下图左侧所示:

如果在等式右侧加入一个微小量u,可以使得x+u在[0,1]范围内近似log2(1+x),如上图右侧所示:

所以有:

因此,



此时再倒回去看浮点数x在内存中的存放形式,即:E*2^23+M;

因此可以认为浮点数的对数形式与其内存存放形式相似,只是添加了缩放和平移。我们知道:

令:

所以有:

将上式展开:


稍作整理:

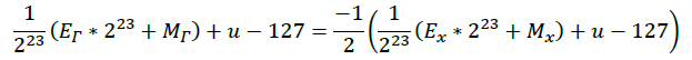
这太棒了,因为浮点数在内存中的存放形式,即:E*2^23+M

而上式中

则相当于对其内存形式右移1位,即

由此可知,魔法数字0x5f3759df就是包含u在内的修正项:

至此我们已经完成了魔法代码的解析:

这太棒了,因为浮点数在内存中的存放形式,即:E*2^23+M

而上式中

则相当于对其内存形式右移1位,即

由此可知,魔法数字0x5f3759df就是包含u在内的修正项:

至此我们已经完成了魔法代码的解析:

  1. i = 0x5f3759df - (i >> 1);       // 魔法
复制代码

i就是x对应内存数据的整型解释,将i右移1位相当于乘以二分之一,也就是1/2*(Ex*2^23+Mx);

等式右侧的运算结果,就是

,也就是

注意此时程序认为i是整型变量,所以需要下一行代码再将其转换为浮点型;

y = *(float *) &i;              // 获得平方根倒数估计值

此时y即是x的平方根倒数。


Step3.优化结果
由于上述推导中,引入了修正系数u,所以y只是近似解。

接下来使用牛顿法(Newton Method)进行一次迭代,使y更接近准确值。简单来说,使用牛顿法,可以从一个近似解获得一个更接近准确答案的解;牛顿法的核心思想是迭代,对于我们正在讨论的问题,属于已知x求y的类型,即



假设已经获取一个近似解y1,则可以通过一次迭代求取更优解y2:



神奇的是计算y2仅需要乘法和减法运算,于是有如下代码:

y = y * (1.5 - halfx * y * y);   // 一次牛顿迭代

该行代码返回优化后的平方根倒数,也就是最终运算结果。

性能测试
接下来我会在STM32G071上测试Fast Inverse Square Root算法与<math.h>中提供的double sqrt(double)算法的性能,并尝试以此证明它为何被尊为经典。STM32G071运行在64MHz下,编译器和调试器优化分别为-O0和-g3。
使用uint32_t替代long型:


    1. float FInvSqrtRoot(float x)

    2. {

    3.     uint32_t i = 0;

    4.     float y, halfx;

    5.     halfx = 0.5 * x;

    6.     i = *(uint32_t*) &x;             // 按照整型方法操作浮点数

    7.     i = 0x5f3759df - (i >> 1);       // 施放魔法

    8.     y = *(float*) &i;                // 获得平方根倒数近似值

    9.     y = y * (1.5 - halfx * y * y);   // 一次牛顿迭代

    10.     return y;

    11. }
    复制代码


因为STM32G071的RAM大小为36KB,先构造了8000个float数据的数组,大小为32KB;构造方法如下:



    1. float test_data[8000] ={ 0 };

    2. for (uint16_t i = 0; i < 8000; i++)

    3.   test_data[i] = i * 1000 + (float)i / 1000;
    复制代码

使用两种不同算法处理上述8000个数据,测试代码如下(注意此处仅作演示,测试方法不一定严谨):

  1. //平方根倒数速算法

  2. printf("FISR Test Start!\r\n");

  3. ticks = 0;//定时器计数,1ms/tick

  4. HAL_TIM_Base_Start_IT(&htim1);

  5. for (uint16_t i = 0; i < 8000; i++)

  6.   sroot=FInvSqrtRoot(test_data[i]);

  7. HAL_TIM_Base_Stop_IT(&htim1);

  8. printf("FISR Test Stop!\r\n");

  9. printf("FISR Time Elapsed:%f\r\n", ((float) ticks) / 1000);



  10. //传统1/sqrt()

  11. printf("SQRT Test Start!\r\n");

  12. ticks = 0;

  13. HAL_TIM_Base_Start_IT(&htim1);

  14. for (uint16_t i = 0; i < 8000; i++)

  15.   sroot=1 / sqrt(test_data[i]);

  16. HAL_TIM_Base_Stop_IT(&htim1);

  17. printf("SQRT Test Stop!\r\n");

  18. printf("SQRT Time Elapsed:%f\r\n", ((float) ticks) / 1000);
复制代码

在上述测试环境下,FInvSqrtRoot耗时181ms,1 / sqrt()耗时325ms,FInvSqrtRoot比1 / sqrt()快大约79%。由于sroot是float型,sqrt()返回double型,所以1 / sqrt()测试时有额外的类型转换损耗;将sroot更改为double型,则类型转换损耗由FInvSqrtRoot承担;该状态下,FInvSqrtRoot耗时187ms,1 / sqrt()耗时315ms,FInvSqrtRoot比1 / sqrt()快大约68%。注意FInvSqrtRoot求取的仅是平方根倒数的近似值,和1 / sqrt()比对,误差约在1%以内。

魔改:平方根速算法
根据上述原理,可将平方根倒数速算法修改为平方根速算法,代码如下:

  1. float FSqrtRoot(float x) {

  2.     uint32_t i = 0;

  3.     float y;

  4.     i = *(uint32_t *) &x;            // 按照整型方法操作浮点数

  5.     i = 0x1fbd1df5 + (i >> 1);       // 施放魔法

  6.     y = *(float *) &i;               // 获得平方根近似值

  7.     y = 0.5 * (y + x / y);           // 一次牛顿迭代

  8.     return y;

  9. }
复制代码

在上述测试环境下,FSqrtRoot耗时109ms,sqrt()耗时221ms,FInvSqrtRoot比sqrt()快大约100%。由于sroot是float型,sqrt()返回double型,所以sqrt()测试时有额外的类型转换损耗;将sroot更改为double型,则类型转换损耗由FSqrtRoot承担;该状态下,FSqrtRoot耗时115ms,sqrt()耗时208ms,FInvSqrtRoot比sqrt()快大约80%。
感兴趣的朋友可自行推导实验,算法性能也请根据实际需求比对。
---------------------
作者:Litthins



收藏 评论0 发布时间:2022-12-10 19:00

举报

0个回答

所属标签

相似分享

官网相关资源

关于
我们是谁
投资者关系
意法半导体可持续发展举措
创新与技术
意法半导体官网
联系我们
联系ST分支机构
寻找销售人员和分销渠道
社区
媒体中心
活动与培训
隐私策略
隐私策略
Cookies管理
行使您的权利
官方最新发布
STM32N6 AI生态系统
STM32MCU,MPU高性能GUI
ST ACEPACK电源模块
意法半导体生物传感器
STM32Cube扩展软件包
关注我们
st-img 微信公众号
st-img 手机版